热搜:

公务员

国企

高校

事业单位

文章
  • 文章
搜索
首页 >> 新闻中心 >>通知公告 >> 2025年上犹县城市社区工作者(专职网格员)招聘入围笔试人员名单及有关事项公告
详细内容

2025年上犹县城市社区工作者(专职网格员)招聘入围笔试人员名单及有关事项公告


根据《2025年上犹县城市社区工作者(专职网格员)公开招聘公告》规定的条件和程序,经报名、线上资格初审,现将资格初审通过入围笔试人员名单及有关事项公告如下:

一、入围笔试人员

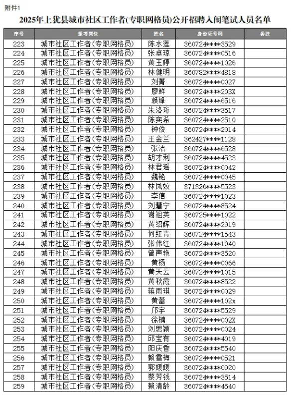
入围笔试人员292人(具体名单见附件1)。

二、笔试成绩加分人员

笔试成绩加分情况见附件2。

三、笔试安排

1.时间:2025年12月6日(周六)9:00-11:00。

2.地点:见准考证。

四、笔试准考证打印时间

2025年12月4日9:00-12月6日9:00。

五、其他事项

1.考生凭准考证、身份证进入考场,请考生登录https://zk.gzrcrx.com/examinationRegistration/recruitmentService(赣州人才热线招考服务平台)进入考试报名模块-考生中心提前打印好准考证。

2.请考生至少提前30分钟到达考场候考,保持通讯畅通,提前做好相关准备。

3.公示期为2025年12月2日—2025年12月4日,对公示内容如有异议,请在12月4日之前与第三方招聘机构联系。

4.咨询方式

咨询电话:0797-8215326(第三方招聘机构)

咨询时间:工作日上午9:00-12:00,下午2:30-5:30


附件1:2025年上犹县城市社区工作者(专职网格员)公开招聘入围笔试人员名单

image.png
image.png
image.png
image.png
image.png
image.png
image.png
image.png


附件2:2025年上犹县城市社区工作者(专职网格员)公开招聘笔试加分情况

image.png


上犹县城市社区工作者(专职网格员)

招聘工作专班

2025年12月2日


电话直呼
在线留言
发送邮件
联系我们:
18270823430
暂无内容
还可输入字符250(限制字符250)
本站已支持IPv6 技术支持: 图灵科技 | 管理登录
seo seo